Мікротвердоміри QATM для вимірювання мікротвердості за Віккерсом, Кнупом і Брінеллем охоплюють діапазон випробувального навантаження від 0,25 г до 62,5 кг. Всі твердоміри оснащені інтуїтивно зрозумілим програмним забезпеченням, яке дозволяє легко керувати, аналізувати і документувати результати. Можна встановлювати револьверні головки з 6 або 8 різними тестовими алмазами або лінзами, що робить перемикання між вимірюваннями твердості за Віккерсом, Кнупом і Брінеллем дуже простим.
Випробування на твердість за Віккерсом (DIN EN ISO 6507)
1. Вдавлення алмазної піраміди з випробувальним навантаженням F у випробуваний зразок | 2. Вимірювання заглиблення діаметром d
|


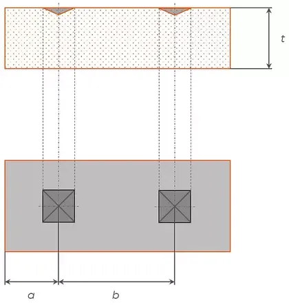
Товщина зразка
Розрізняють макро-, малу силу та мікротвердість.
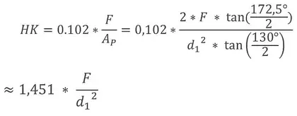
У 1939 році Кнуп, Емерсон і Пітерс розробили метод випробування на твердість за Кнупом, щоб забезпечити більш надійне вимірювання твердості в тонких шарах. По суті, він дуже схожий на тест на твердість за Віккерсом. Тут в якості індентора використовується ромбічна алмазна піраміда з поздовжнім кутом ребра 172,3° і поперечним кутом 130°. Цей індентор, в свою чергу, вертикально вдавлюється в поверхню зразка з певним випробувальним навантаженням. Після розвантаження вимірюється отриманий індентор, причому тільки довга діагональ d1.
Потім розраховується твердість за Кнупом як добуток сили випробування на площу проекції вм'ятини.
Метод Кнупа використовується тільки в діапазоні малих зусиль (до 10 Н) і мікротвердості.
1. Вдавлення алмазної піраміди з випробувальним навантаженням F у випробуваний зразок
| 2. Вимірювання довгої діагоналі d1 заглиблення |

Відповідно до DIN EN ISO 6508-1 результат випробування на твердість за Кнупом позначається наступним чином:
700 HK 0,2 / 20 ⇒ Значення твердості за Кнупом
700 HK 0,2 / 20 ⇒ Абревіатура для твердості за Кнупом
700 HK 0,2 / 20 ⇒ Специфікація випробувального навантаження: Випробувальне навантаження [Н] = 9,807 * специфікація випробувального навантаження
700 HK 0,2 / 20 ⇒ Час прикладання випробувального навантаження (не вказується, якщо він становить від 1 до 15 с)
Йоганн Август Брінелл (Швеція) представив свій новий метод вимірювання твердості на Всесвітній виставці в Парижі в 1900 році.
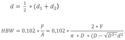
У цьому методі кулька з твердого сплаву вертикально вдавлюється в поверхню зразка з певною силою. Це створює поглиблення на поверхні зразка. Діаметр вдавлення d визначається за допомогою вимірювального мікроскопа, а твердість за Брінеллем вираховується або визначається за відповідними таблицями.
1. Вдавлення твердої металевої кульки з ØD і випробувальним навантаженням F у зразку | 2. Вимірювання заглиблення діаметром d |

